Helium Burning#
Let’s explore the temperature sensitivity of the 3-\(\alpha\) rate.
import pynucastro as pyna
rl = pyna.ReacLibLibrary()
three_alpha = rl.get_rate_by_name("a(aa,g)c12")
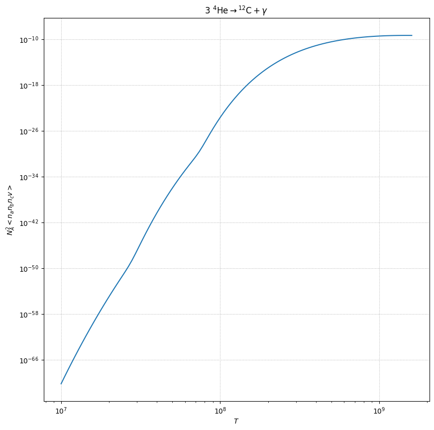
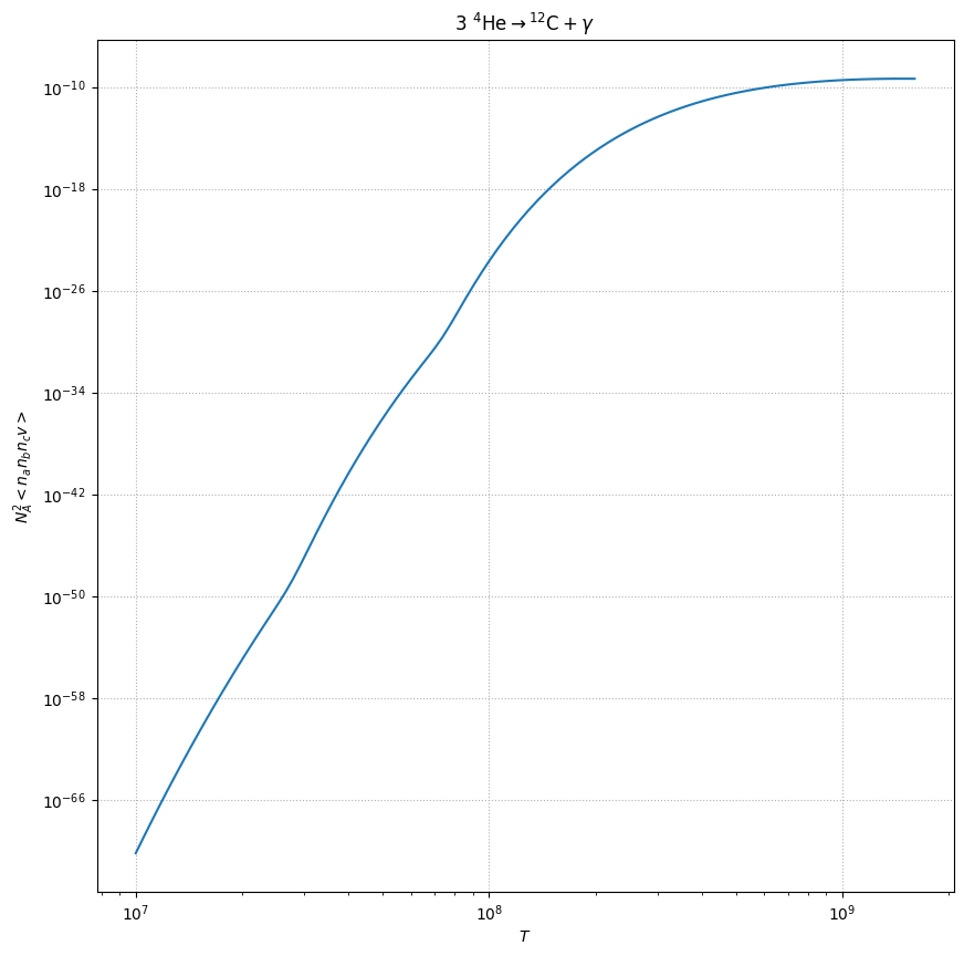
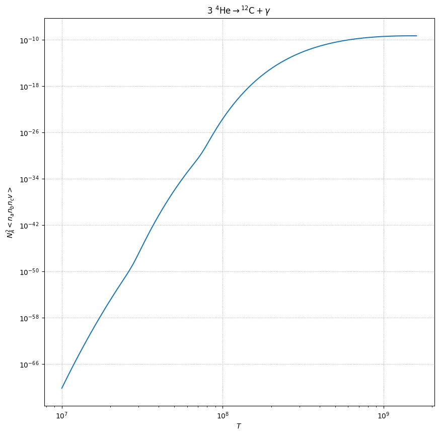
First a plot:
fig = three_alpha.plot(Tmin=1.e7)
ax = fig.gca()
ax.grid(ls=":")

Now let’s look at how this rate behaves as a powerlaw:
\[r = r_0 \left ( \frac{T}{T_0} \right )^\nu\]
for T in [1.e8, 2.e8, 5.e8, 1.e9]:
print(f"T = {T:6.2g} : ν = {three_alpha.get_rate_exponent(T):5.2f}")
T = 1e+08 : ν = 40.91
T = 2e+08 : ν = 19.07
T = 5e+08 : ν = 5.79
T = 1e+09 : ν = 1.40
We see at (relatively) low temperatures (\(T = 10^8~\mathrm{K}\)), the 3-\(\alpha\) rate scales as \(T^{40}\)!